生物质热解油利用
近年来,煤炭、石油等化石燃料长期大规模应用引发的温室效应等环境问题渐趋凸显,开发可再生能源技术,构建多种能源形式并存的新能源体系结构具有重要意义。生物质既是能源也是资源,有望替代或部分替代化石燃料,减少二氧化碳排放。我国农村地区面积广大,生物质资源丰富,具有广阔的发展前景。
鉴于生物质原料存在地域分散性广、能量密度低以及不适宜长时间存储等缺点,生物质资源宜采用“分散制油,集中利用”的策略。然而,生物质热解所得生物油具有酸性高、腐蚀性强、热值低、化学稳定性差等缺点,加工提质后方可利用。目前,生物油与煤炭混合制浆再气化制备合成气,生物油催化转化制备车用替代燃料,以及组分分离,是生物油规模化高值化利用的三种主要途径,本课题组在此方面开展了许多有益探索。
(1)生物油煤浆
对生物油煤浆的流变、雾化及其气化特性进行了系统研究。研究发现,影响生物油煤浆粘度的主要因素包括:煤种、生物油O/C、水分、总酸性官能团、酚羟基官能团以及羧基官能团含量。适宜制浆的煤种为无烟煤或高变质程度烟煤,煤对生物油组分的吸附特性是影响生物油煤浆体系能否稳定的关键因素,变质程度较低的煤种对生物油组分的吸附能力强,所制煤浆中可自由流动液体含量低;反之则高。生物油煤浆根据其流变特性指数是否大于0.800可分为强假塑性煤浆和弱假塑性煤浆,弱假塑性煤浆大部分可以稳定储存,而强假塑性煤浆能否稳定与制浆煤种及生物油水分含量有关。生物油水分含量升高,煤浆由弱假塑性转变为强假塑性。生物油中存在一特殊水分含量CWmin,该水分含量下所得生物油煤浆特征粘度最低。因此,可通过改变生物油水分含量调整生物油煤浆性质。
图1 生物油煤浆流变性影响机制
通过双流体喷嘴可以实现生物油煤浆的充分雾化,适宜的操作条件下可获得粒径低于40μm的雾化液滴,喷嘴中心线上的液滴速度约为气体出口速度的1/5-1/10。气流床气化实验表明,1200oC-1400oC温度下,生物油煤浆碳转化率达95%以上,明显高于水煤浆,气化效率比水煤浆高出3个百分点,比氧耗比水煤浆降低约18%,验证了生物油煤浆气化制备合成气的技术可行性。可以生物油煤浆作为气化原料的代表性技术主要包括:GE气化炉(原Chevron Texaco气化炉)、E-GasTM气化炉、清华炉(Tsingua OSEF gasifier)、多喷嘴(ECUST gasifier)对置式气化炉以、多组分气化炉(MCSG gasifier)等。
(2)木醋液中羟基丙酮富集
羟基丙酮是生物质热解液水相体系(木醋液)中为数不多的高价值组分,但目前尚无羟基丙酮提取的应用技术。本课题组针对木醋液中羟基丙酮的富集工艺进行了探索,对热解液分析方法、吸附剂特性、萃取剂效果、盐碱效应、精馏条件等因素进行了考察,初步获得了羟基丙酮富集的技术方案,即首先蒸馏去除水相中的轻组分,再精馏浓缩羟基丙酮的水相体系,经过盐/碱处理后将羟基丙酮萃取至有机相,以不同精馏条件多次精馏去除低沸点有机溶剂及高沸点组分,以轻组分形式精馏获得羟基丙酮富集液。目前所得羟基丙酮最高浓度为62.4%,其他主要组分包括羟基丁酮19.6%,乙酸乙酯8.1%,乙酸6.2%,水1.1%。
图2 木醋液中羟基丙酮的富集
(3)酚油催化芳醚化提质
将酚系物分子中的强极性羟基官能团转化为弱极性的烷氧基,可改善其与汽柴油的混配特性。该技术路线由本课题组首次提出,并已针对该技术路线进行了多年研究。通过小型固定床催化反应器,分别对模型化合物苯酚、多种模型混合物以及实际酚油的芳醚化催化转化进行了研究,针对金属盐的负载量、催化剂煅烧温度、煅烧时间等催化剂制备条件,以及苯酚与甲醇的摩尔比、催化反应温度、反应时间、空速等催化反应条件进行了考查。优化条件下,苯酚芳醚化转化率达到84%,苯甲醚选择性达到93%。
图3 酚油催化芳醚化提质技术路线
(4)生物油的加氢脱氧提质
传统生物油催化加氢脱氧工艺中普遍使用价格昂贵的贵金属催化剂,并且需要引入本身即为高能燃料的氢气,气态氢气的存储、运输和使用安全风险极高,是焦油催化加氢脱氧技术的不利因素。若能够以液体供氢试剂替代氢气对焦油进行加氢脱氧处理,即实现生物油的原位催化加氢脱氧,则可显著提高工艺过程的安全系数,并且供氢试剂的原位供氢转化可直接产生活泼氢原子,有利于克服气态氢气在固态催化剂表面发生吸附活化时无法回避的相间传递阻力和反应障碍,是提高反应速率和转化效率的有利因素。
图4 生物油原位加氢脱氧提质技术路线
本课题组以甲酸为供氢试剂,考察了生物油及其典型组分苯酚及糠醛的原位加氢反应。筛选出了有利于提高苯酚转化率和脱氧效率的最佳催化剂Ru/MCM-41。研究发现,以Ru/MCM-41为催化剂,以甲酸为供氢试剂的苯酚原位加氢反应体系中,最佳反应条件下,可以实现最高73.9%的苯酚转化率以及72.2%的脱氧效率。在以糠醛为转化对象、以甲酸为供氢试剂的反应体系中,双金属Ni-Cu催化剂表现出了极高的催化活性和2-甲基呋喃催化选择性,最佳条件下2-甲基呋喃产率可达92%,且相关催化剂及反应条件能够适用于生物油的转化提质。
(5)生物油原位电催化加氢脱氧
以糠醛作为生物油模型组分,将电催化还原(ECR)技术应用于糠醛(FF)还原反应,以制备高产率2-甲基呋喃(MF)为目标,对电极结构和条件影响规律以及催化剂作用机制进行研究。以碳纸为基底材料,通过同步电沉积方法制备了NiCu/CP双金属双层电极。研究显示,该电极催化剂的核心催化剂为Cu,极少量Ni可对反应产生显著促进作用,最佳Ni/Cu配比为0.007。其作用机制与Ni、Cu双金属活性位点的排布及其协同催化过程有关。目标产物2-甲基呋喃的电流效率和产率随电解液pH值及工作电流升高呈先增加而后下降的变化趋势。电解液中存在微量Ni2+有利于促进2-甲基呋喃生成,Ni2+最佳浓度为10 -7 M,该浓度条件下,糠醇和2-甲基呋喃总电流效率(88%)、2-甲基呋喃电流效率(82%)和2-甲基呋喃产率(77 μmol∙cm-2∙h-1)达到本体系最佳值。催化剂失活后可通过再生处理恢复性能,实现循环利用。
图5.电解液中Ni2+和Cu2+浓度和电流密度对2-甲基呋喃(MF)和糠醛(FA)产率和电流效率的影响

图6. 双金属电极催化作用机理
(6)羟甲基糠醛及航空煤油前驱体催化合成
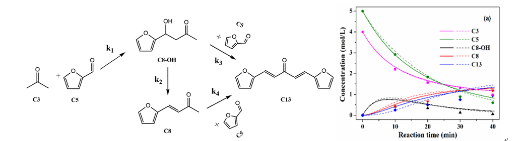
玉米秸秆经水解脱水后产生呋喃类平台化合物5-羟甲基糠醛(HMF)和糠醛,经碳链增长反应得到高碳数的长链加合产物,再进一步加氢脱氧后可制备得到航空煤油。以水-THF为反应介质,以NaHSO4/ZrO2为催化剂,对以纤维素为原料的HMF制备反应进行研究,结果显示NaHSO4电离产生的H+对纤维素转化为HMF的三步反应均有催化作用,碱性ZrO2可促进葡萄糖异构化为果糖,对葡萄糖和HMF缩合为胡敏素的副反应有抑制作用,且ZrO2具有良好的可再生性。最优条件下,HMF最高摩尔产率可达86.5 mol%。在相同的体系中,将原料由纤维素更换为玉米秸秆以同步制备HMF和糠醛时,NaHSO4能有效的促进HMF和糠醛的生成,但ZrO2无明显催化作用。研究了以Ca/ZSM-5为催化剂,催化糠醛与丙酮之间的羟醛缩合反应。结果表明,CaO和水的存在对反应过程有促进作用,且CaO与ZSM-5存在协同催化作用,对促进反应更有利。最佳条件下,C8和C13加合物的最优摩尔产率分别为38.4 mol%和60.2 mol%,此时糠醛和丙酮的转化率分别为99.1 mol%、87.5 mol%。失活的催化剂Ca/ZSM-5-700可通过重新负载CaO得以再生。

图7. NaHSO4/ZrO2/水-THF反应体系中纤维素制备HMF的反应示意图以及糠醛-丙酮缩合反应动力学模型70oC